自支撑、透明、超薄石墨烯薄膜柔性超级电容器
日期:2020-04-27 来源:未知
相关成果以“Graphene Thin Films by Noncovalent-Interaction-Driven Assembly of Graphene Monolayers for Flexible Supercapacitors”为题于2018年3月8日在线发表在Cell出版社综合性化学期刊《Chem》上(chem, 2018, 4, 896-910),论文的共同第一作者是硕士研究生王郭飞和青年教师秦海利博士。
全固态超级电容器作为新型储能器件受到广泛关注。柔性超薄的石墨烯薄膜集合了石墨烯纳米片的优点而且兼具轻质的特点,在用作柔性电源时将产生有趣的性能。由于缺少有效的组装方法和弱的界面作用,这一领域的发展还存在巨大的挑战。宏观尺度纳米组装技术能实现具有新型等级结构的先进材料的制备,这种材料不仅能把单个结构单元的固有性能集合到组装体中并且能带来独特性能。从怀萍教授研究团队与中国科学技术大学、南京大学相关研究组合作,通过设计优化组装体微纳结构和增强界面作用力相结合策略,基于改进的朗格缪尔组装技术,可控制备不同厚度的氧化石墨烯薄膜。为了增强薄膜内部氧化石墨烯片层间的相互作用,在片层间引入有机小分子增加相邻两层纳米片之间的有效接触。为了寻找合适的有机分子,利用单分子原子力显微镜直接测量了11种不同有机分子与氧化石墨烯纳米片之间的相互作用,发现三聚氰胺分子与氧化石墨烯之间的作用力最强,大约是1纳牛,是目前所测量的最强的非共价键作用力,达到了共价键的力程,来自于电荷转移与氢键的协同作用。
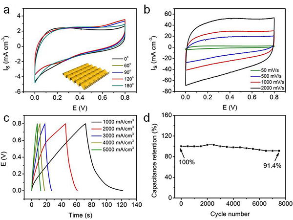
基于以上研究,科研人员成功制备了具有自支持、透明、超薄氧化石墨烯薄膜,薄膜厚度仅有22纳米,由两层氧化石墨烯单层膜组成。该透明薄膜具有优异的机械强度(断裂强度45MPa)、拉伸性(断裂拉伸应变3.5%)、透光性(550纳米处透光率84.6%)、柔韧性以及耐酸碱稳定性。通过化学还原得到的高强度石墨烯薄膜电阻仅有420Ω/sq,表现出很好的电机械稳定性。基于上述物理化学性质,该薄膜展现了优异的超级电容器性能,电流密度500 mA/cm3时,电容值为197.3 F/cm3。此外,由这种薄膜组装而成的全固态柔性超级电容器具有较高的体积电容值、良好的电机械稳定性和循环稳定性,在循环7500圈后电容值仍保留有91.4%。这一工作为低维纳米结构单元的组装构筑功能性柔性薄膜材料提供了普适有效的方法,有利于促进下一代柔性电子器件的发展。
图1.(上)基于石墨烯和三聚氰胺相互作用构筑透明超薄石墨烯薄膜;(下)基于单分子原子力显微镜研究不同有机分子与氧化石墨烯之间作用力。
图2. 基于30纳米厚石墨烯薄膜构筑全固态柔性超级电容器的研究。
该工作得到了国家自然科学基金、国际合作重点项目、国家重点基础研究发展计划、新世纪优秀人才支持计划、中央高校基本科研业务费专项资金、安徽省自然科学基金、合肥大科学中心卓越用户基金等项目的资助。

基于以上研究,科研人员成功制备了具有自支持、透明、超薄氧化石墨烯薄膜,薄膜厚度仅有22纳米,由两层氧化石墨烯单层膜组成。该透明薄膜具有优异的机械强度(断裂强度45MPa)、拉伸性(断裂拉伸应变3.5%)、透光性(550纳米处透光率84.6%)、柔韧性以及耐酸碱稳定性。通过化学还原得到的高强度石墨烯薄膜电阻仅有420Ω/sq,表现出很好的电机械稳定性。基于上述物理化学性质,该薄膜展现了优异的超级电容器性能,电流密度500 mA/cm3时,电容值为197.3 F/cm3。此外,由这种薄膜组装而成的全固态柔性超级电容器具有较高的体积电容值、良好的电机械稳定性和循环稳定性,在循环7500圈后电容值仍保留有91.4%。这一工作为低维纳米结构单元的组装构筑功能性柔性薄膜材料提供了普适有效的方法,有利于促进下一代柔性电子器件的发展。

图1.(上)基于石墨烯和三聚氰胺相互作用构筑透明超薄石墨烯薄膜;(下)基于单分子原子力显微镜研究不同有机分子与氧化石墨烯之间作用力。

该工作得到了国家自然科学基金、国际合作重点项目、国家重点基础研究发展计划、新世纪优秀人才支持计划、中央高校基本科研业务费专项资金、安徽省自然科学基金、合肥大科学中心卓越用户基金等项目的资助。
相关内容 Related
航天英雄对特种耐高温涂料的描述21-09-13
现代小家电耐高温涂料应用现状及展望21-04-27
石墨烯研究的意外发现,能否解开高温超导之谜21-04-09
玻璃装饰材料的“新宠”— 夹丝玻璃20-12-21
全球石墨烯产业概述20-12-03
中国石墨烯市场概述20-11-24
